Skip to content
Call Us Now
2200 West Port Plaza Drive
St. Louis, MO 63146
Phone Number
314-561-7334
Contact Us
Home
About Us
Services
Consumer Directed Services
24 Hour Home Care
Live in care
In-Home Care
Private Pay
Overnight Caregivers
FAQs
Office Location
Springfield
Columbia
St. Louis
Kansas City
Blogs
Contact
Home
About Us
Services
Consumer Directed Services
24 Hour Home Care
Live in care
In-Home Care
Private Pay
Overnight Caregivers
FAQs
Office Location
Springfield
Columbia
St. Louis
Kansas City
Blogs
Contact
Follow Us:
Facebook-f
Instagram
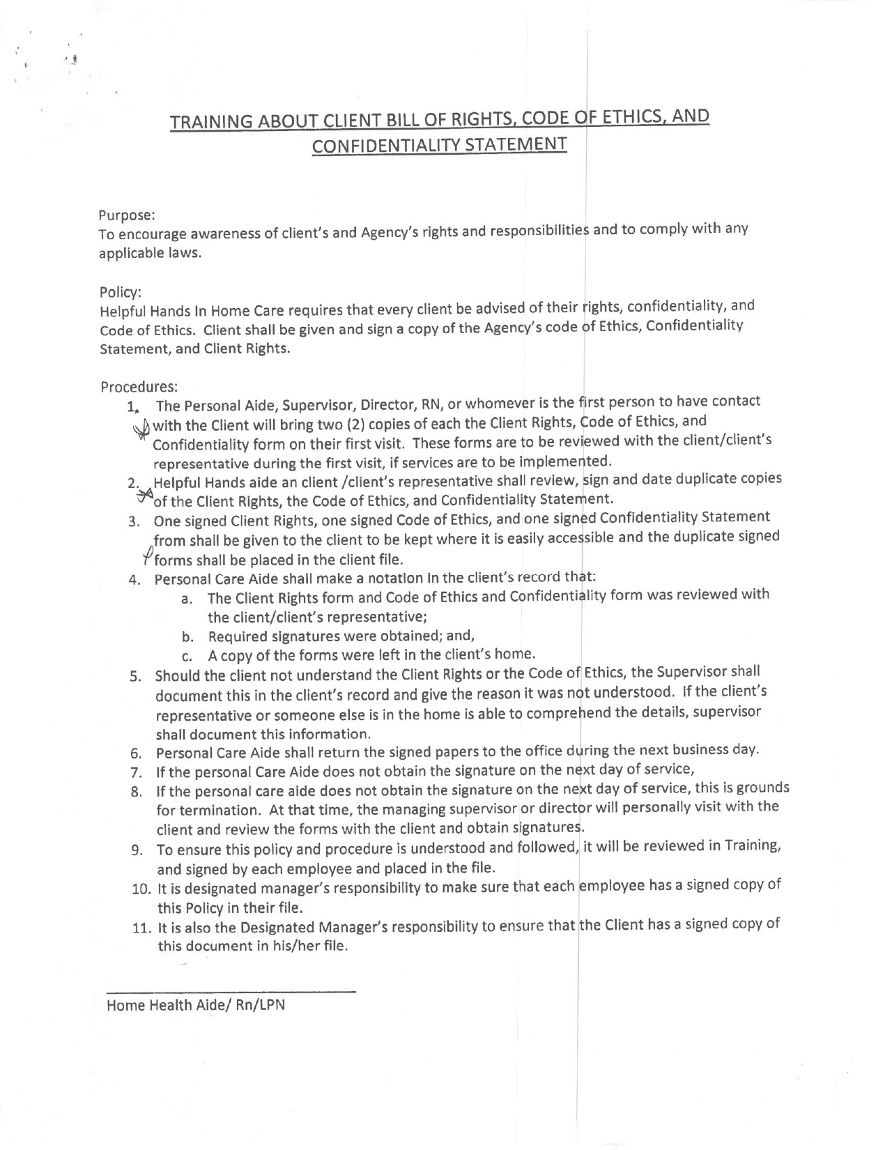
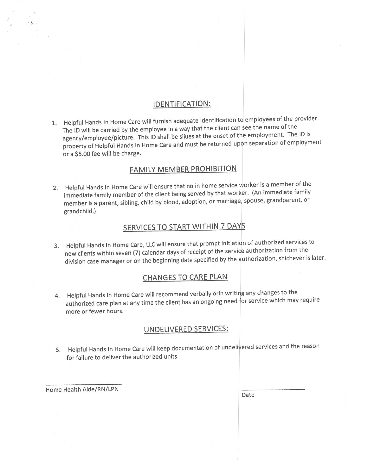
Employee Training Orientation
Scroll to Top